再生磷酸铁锂具备诸多优点,已成为当前热门的锂电池正极材料产品。 邦普循环采用高温固相法对废弃磷酸铁锂进行再生,生产的再生磷酸铁锂产品具备高压实、高容量、平台稳定等特点。产品能量密度高、稳定性强、原料成本低,同时极大程度响应了国家环境保护政策。回收再生废旧磷酸铁锂,减少电池污染对环境造成的危害;减少粉末制备流程,实现资源节约的同时创造更高经济价值。
≥2.35压实密度-3T (g/cm3)
<60.0粉末电阻率 (Ω•cm)
0.6-1.6Dv50 (μm)
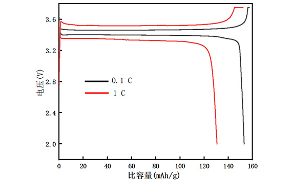
>1570.1C首圈充电克容量 (mAh/g)
>1500.1C首圈放电克容量 (mAh/g)
>1261C首圈放电克容量 (mAh/g)
技术图表

充放电曲线图

粒度分布图



