单一手性碳纳米管旋光异构体分离与物性研究获进展
碳纳米管因其一维的管状分子结构,表现出优异的力学、电学和光学等性质,在微纳光电子器件、生物医药、新能源材料等方面具有广阔的应用前景。碳纳米管特殊的性质来源于其结构。原子结构排列上的微小差异将导致碳纳米管光电性质的巨大区别。如:碳纳米管由于结构的不同可以是金属性的,也可以是半导体性的;每一种手性碳纳米管有一对左右螺旋对称的镜像体,表现出相反的旋光特性(被称作旋光异构体)等。宏量获取单一结构、均一性质的碳纳米管是研究其性质,推动其应用的关键。现有的碳纳米管生长技术或生长后处理技术均很难制备单一结构的碳纳米管,严重阻碍了碳纳米管性质和应用研究。
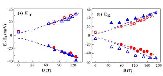
中国科学院物理研究所/北京凝聚态物理国家实验室(筹)先进材料与结构分析重点实验室特聘研究员刘华平与日本产业技术综合研究所首席研究员Hiromichi Kataura教授,美国Rice大学教授Junichiro Kono,日本东京大学教授Shojiro Takeyama等分别合作,在单一手性碳纳米管旋光异构体分离和物性研究方面取得了几项重要进展:(1)刘华平与Hiromichi Kataura等发展了凝胶色谱技术,通过离子表面活性剂精确调控碳纳米管与凝胶的作用力强度,利用多糖凝胶的手性结构与碳纳米管左右螺旋结构作用力的差异,将分散的碳纳米管溶液载入多段凝胶色谱柱,同时分离出了9种高纯手性碳纳米管及其左右螺旋镜像体结构(如图1),真正实现了碳纳米管单一结构的宏量制备,解决了碳纳米管性质和应用研究瓶颈。(2)在碳纳米管结构分离的基础上,刘华平与Junichiro Kono等合作,利用超快激光对分离出的(6, 5)碳纳米管进行激发,探测并识别出了(6, 5)碳纳米管的14个声子振动模式(如图2),该成果有助于进一步理解一维结构中的声子与电子的动态关系和相互作用,为一维结构中声子的振动建立更准确的理论模型奠定了基础。(3)刘华平与Shojiro Takeyama等合作,对分离出的单一手性碳纳米管 (6, 4)和(6, 5) 进行了系统的磁光性能研究。在超高强磁场中,通过对碳纳米管光吸收谱的测量,直接观察到了半导体碳纳米管第二子能带中的明暗激子能量的相对顺序与碳纳米管的结构密切相关(如图3)。该研究成果表明,通过碳纳米管激子态的操控,有望实现碳纳米管光学性能的控制。
该系列工作分别发表在Nano Lett. 14 (2014) 6237, Nano Lett. 14 (2014) 1426和Scientific reports4 (2014) 6999上。这些工作得到了中科院百人计划和国家青年千人计划项目的支持。

图1. 分离出的单一手性碳纳米管旋光异构体的圆二色光谱表征

图2. (6, 5)单一手性碳纳米管相干声子谱表征

图3. (6, 4)(6, 5)碳纳米管E11(左)和E22(右)子能带中明暗激子能量与外加磁场之间关系


